近日,物理与电子工程学院帕尔哈提江·吐尔孙教授带领的微纳光学研究团队以2020级凝聚态物理专业研究生程龙为第一作者、帕尔哈提江·吐尔孙教授为通讯作者、365英国上市公司官网为第一完成单位,在国际期刊《Materials》(JCR 1区,IF = 3.748)上发表了题为“Inversion of the Complex Refractive Index of Au-Ag Alloy Nanospheres Based on the Contour Intersection Method”的研究论文,该论文为Au-Ag合金纳米颗粒复折射率的测量提供了一种简单、快捷及低成本的新手段。

颗粒粒径对折射率实部(n)和虚部(k)反演结果的影响

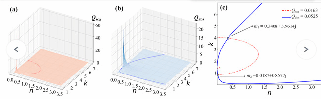
基于等高线相交法反演的Au-Ag合金纳米颗粒的复折射率
Au-Ag合金纳米颗粒由于其具有良好的结构稳定性、光热性能、折射率传感特性以及潜在的生物医学应用而受到广泛关注。当金属纳米颗粒与特定波长的入射光相互作用时,将会产生局域表面等离激元共振(Localized Surface Plasmon Resonance, LSPR)现象,在共振波长处,纳米颗粒强烈吸收和散射入射光。复折射率是影响颗粒LSPR特性的重要参数之一,其决定了颗粒在实际应用中的光学性质和行为。本文基于Mie散射理论提出了改进的等高线相交法,将其用于Au-Ag合金纳米颗粒复折射率的反演,并对反演结果的可靠性和稳定性进行了定量分析。
该研究工作得到国家自然科学基金(No.11764042)、自治区自然科学基金(No.2021D01A116)及新疆矿物发光材料及其微结构实验招标课题(No.KWFG202205)的资助。
信息、图片来源:物理与电子工程学院 编审:宣传部